Skip to content Skip to sidebar Skip to footer

Contoh Soal X Y

Contoh Soal X Y Terupdate

Contoh Soal X Y Contoh Soal Dan Materi Pelajaran 1

Kumpulan Soal Dan Pembahasan Sistem Persamaan Linier Dua Variabel

Contoh Soal Soal Aljabar Boolean Dan Pembahasannya

Soal Dan Pembahasan Persamaan Differensial Metode Integrasi

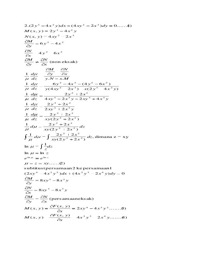
Soal Soal Faktor Integrasi Yang Bergantung Pada Xy Dan X Y

Soal Dan Pembahasan Turunan Fungsi Implisit 1 5 Istana Mengajar

Bab 4 Integral Lipat Dua1 2

Contoh Soal Tpa

Contoh Soal Metode Grafik Dari X Y 5 Dan X Y 1 Untuk X Y Elemen R

Kumpulan Soal Dan Pembahasan Sistem Persamaan Linier Dua Variabel

Modul Persamaan Diferensial 1

Ppt Aljabar Boole Powerpoint Presentation Free Download Id

Program Linear Model Matematika Contoh Soal

Ilmu Pengetahuan Populer 2 Contoh Soal X Y

Persamaandifferensial

Tentukan Nilai X Y Dan Z Dari Sistem Persamaan Linear Tiga

Pelajaran Soal Rumus Fungsi Objektif Wardaya College

Koordinat Edisi Revisi 2016 Contoh Soal Panjang Garis Xy Youtube

Cara Menentukan Himpunan Penyelesaian Sistem Persamaan Linear Dua

Pelajaran Soal Rumus Pencerminan Terhadap Sumbu X Sumbu Y

Modul Persamaan Diferensial 1

Pelajaran Soal Rumus Metode Substitusi Wardaya College

Operasi Biner Matematika Bersama Contoh Soal Dan Jawaban

Soal Soal Faktor Integrasi Yang Bergantung Pada Xy Dan X Y

Pelajaran Soal Rumus Metode Eliminasi Substitusi Wardaya College

Kumpulan Soal Dan Pembahasan Sistem Persamaan Linier Dua Variabel

Matematika Kelas 4 100institute

Contoh Turunan Implisit Youtube

Persamaan Linear Satu Variabel Matematika Kelas 10 Quipper Blog

Contoh Soal Ujian Nasional 2019 Matematika Smp Mts Materi Bentuk

Pelajaran Soal Rumus Metode Eliminasi Wardaya College

Sistem Persamaan Linear Dua Variabel 4 Metode Penyelesaian Soal

Tentukan Nilai X Y Dan Z Dari Sistem Persamaan Linear Tiga

Turunan Parsial Materi Kalkulus I Ppt Download

Contoh Soal X Terupdate

Doc Contoh Soal Tpa Aljabar Contoh Soal Tpa Aljabar 1 Jika X 2

20 Soal Dan Jawaban Untuk Matriks

V Sywesehxiwom

Analogi Bilangan X Y Matematika Tiu Soal Tes Cpns Asn Tes

Pelajaran Soal Rumus Pencerminan Terhadap Garis X H Y K

Aljabar Boole Definisi Prinsip Dualitas Fungsi Boolean Ppt Download

Doc Turunan Berarah Salim Kurni Academia Edu

Contoh Soal Dan Pembahasan Sistem Persamaan Linear Dua Variabel

Memahami Persamaan Dan Pertidaksamaan Linear Lebih Mudah Rumus

Un Sma Matematika 2017 Prediksi Pembahasan No 23 Persamaan

Soal Dan Pembahasan Latihan Olimpiade Nasional Smp 1 10 Istana

Contoh Soal Dan Pembahasan Dilatasi Marthamatika

Modul Persamaan Diferensial 1

Contoh Soal Tiu Tes Inteligensia Umum Cpns Terbaru 2020

Tes Cpns Dan Tpa 28 Hitung Cepat X Dan Y 2 Youtube

Contoh Soal Cpns 35 Soal Cpns Tiu Lengkap Pembahasan

Aljabar Boole Definisi Prinsip Dualitas Fungsi Boolean Ppt Download

Contoh Soal X Y Kumpulan Soal Pelajaran 3

Sistem Persamaan Linear Tiga Variabel Dan Contoh Soal Penerapannya

Jelaskan Maksud Contoh Soal Diatas Caranya Terimakasihyg Jelas Dan

Bab 2 Turunan Parsial

Doc Bab Vi Integral Lipat Dua Dan Tiga Iycha Amalia Academia Edu

Logaritma Pengertian Rumus Sifat Contoh Soal Dan Pembahasan

Contoh Soal Struktur Aljabar

Contoh Turunan Implisit Youtube

Soal Dan Pembahasan Ujian Tengah Semester Uts Persamaan

Turunan Parsial Materi Kalkulus I Ppt Download

Soal Dinamika Benda Tegar Dan Pembahasannya Fokus Fisika

Pelajaran Soal Rumus Fungsi Objektif Wardaya College

Pdf Bab 5 Integral Lipat Dan Penggunaannya Ivan Arzaqi

Contoh Soal Dan Pembahasan Tentang Program Linear Ajar Hitung

Rumus Jumlah Dan Selisih Fungsi Trigonometri Sinus Dan Cosinus

Matematika Kelas 9 Menyelesaikan Persamaan Kuadrat

Contoh Soal Tes Potensi Akademik Sbmptn Dan Jawabannya Info

Soal Dan Pembahasan Super Lengkap Sistem Persamaan Linear Tiga

Tentukan Nilai X Y Dan Z Dari Sistem Persamaan Linear Tiga

Cara Mudah Menentukan Nilai X Dan Y Dalam Persamaan Matriks Soal

Prolog Materi Definisi Pencerminan Terhadap Sumbu Y Contoh Soal

Kumpulan Soal Dan Pembahasan Sistem Persamaan Linier Dua Variabel

Turunan Fungsi

Contoh Soal Sistem Persamaan Linear Tiga Variabel 2019

Doc Kumpulan Soal Jawab Olimpiade Matematikadaripertemuan Berau

Rumus Korelasi Pengertian Jenis Macam Macamnya Contoh Soal

Pelajaran Soal Rumus Metode Grafik Wardaya College

Contoh Soal Spldv Matematika Smp 1 Idschool

Tpa Contoh Soal Tpa Aljabar 1 Jika X2 Y2 5 Dan Xy 2 Maka X Y

Contoh Soal Program Linear Model Matematika Dan Pembahasannya

Contoh Soal Garis Singgung Lingkaran Dan Jawabannya

Diketaui Bentuk Aljabar Sebagai Berikut Xy 5xy 6x X 2y

Persamaandifferensial

Contoh Soal Ujian Nasional 2019 Matematika Smp Mts Materi Bilangan

Koordinat Cartesius Materi Sistem Contoh Soal Pembahasan

Perkalian Pecahan Biasa Dan Campuran Beserta Contoh Advernesia

Pembahasan Soal Sistem Persamaan Linier Dua Variabel Bentuk

6 Persamaan Diferensial Tidak Eksak Ppt Download

Pelajaran Soal Rumus Metode Eliminasi Wardaya College

Matematika Kelas 8 Cara Menyelesaikan Sistem Persamaan Linear

Pengertian Dan Contoh Soal Pd Homogen

Modul Persamaan Diferensial 1

Perkalian Dan Pembagian Pecahan Aljabar

Contoh Soal Mutasi Gen Dan Kromosom Sma 1 Idschool

6 Transformasi Linier

Sistem Persamaan Linear Dua Variabel 4 Metode Penyelesaian Soal

Tpa Contoh Soal Tpa Aljabar 1 Jika X2 Y2 5 Dan Xy 2 Maka X Y


Post a Comment for "Contoh Soal X Y"